Featured image of post Ytm Formula

Ytm Formula

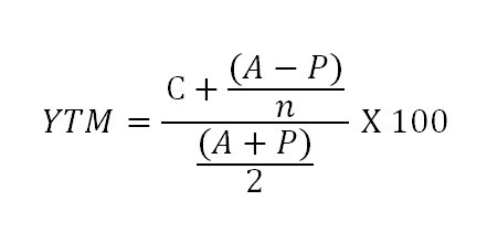
Yield to maturity ytm for a bond is the total return interest plus capital gain obtained from a bond held to maturity

Built with Hugo Cuy
Theme Reang Cuy v.%!(EXTRA string=2.0.1) designed by Ngopi24Jam.cuy